Drug And Alcohol Testing Business Plan . prepare a clear and concise business plan that outlines your drug testing business’s goals, financial projections, and strategies for success. Also, download your business plan. learn how to start a profitable drug testing business. Get certified, develop a marketing plan, and establish efficient operations. Calculate your projected income for the first 2 years. learn the basics of launching a drug and alcohol testing business, from market analysis to certification and training. learn how to write a business plan for your drug testing business in just 7 steps. learn about the different segments and players in the drug and alcohol testing industry, and how to start your own business from scratch.
from www.template.net
learn how to start a profitable drug testing business. learn the basics of launching a drug and alcohol testing business, from market analysis to certification and training. prepare a clear and concise business plan that outlines your drug testing business’s goals, financial projections, and strategies for success. learn how to write a business plan for your drug testing business in just 7 steps. Also, download your business plan. Get certified, develop a marketing plan, and establish efficient operations. learn about the different segments and players in the drug and alcohol testing industry, and how to start your own business from scratch. Calculate your projected income for the first 2 years.
Drug And Alcohol Policy Template in Word, Pages, Google Docs Download
Drug And Alcohol Testing Business Plan prepare a clear and concise business plan that outlines your drug testing business’s goals, financial projections, and strategies for success. learn how to write a business plan for your drug testing business in just 7 steps. learn about the different segments and players in the drug and alcohol testing industry, and how to start your own business from scratch. Get certified, develop a marketing plan, and establish efficient operations. Also, download your business plan. learn the basics of launching a drug and alcohol testing business, from market analysis to certification and training. prepare a clear and concise business plan that outlines your drug testing business’s goals, financial projections, and strategies for success. Calculate your projected income for the first 2 years. learn how to start a profitable drug testing business.
From worktraining.com
Learn How to Start a Drug Testing Business Drug And Alcohol Testing Business Plan learn how to start a profitable drug testing business. learn about the different segments and players in the drug and alcohol testing industry, and how to start your own business from scratch. Calculate your projected income for the first 2 years. Also, download your business plan. learn how to write a business plan for your drug testing. Drug And Alcohol Testing Business Plan.
From old.sermitsiaq.ag
Company Drug Policy Template Drug And Alcohol Testing Business Plan prepare a clear and concise business plan that outlines your drug testing business’s goals, financial projections, and strategies for success. Also, download your business plan. learn how to write a business plan for your drug testing business in just 7 steps. learn how to start a profitable drug testing business. Calculate your projected income for the first. Drug And Alcohol Testing Business Plan.
From www.template.net
Drug And Alcohol Policy Template in Word, Pages, Google Docs Download Drug And Alcohol Testing Business Plan prepare a clear and concise business plan that outlines your drug testing business’s goals, financial projections, and strategies for success. Calculate your projected income for the first 2 years. Get certified, develop a marketing plan, and establish efficient operations. learn how to write a business plan for your drug testing business in just 7 steps. Also, download your. Drug And Alcohol Testing Business Plan.
From www.scribd.com
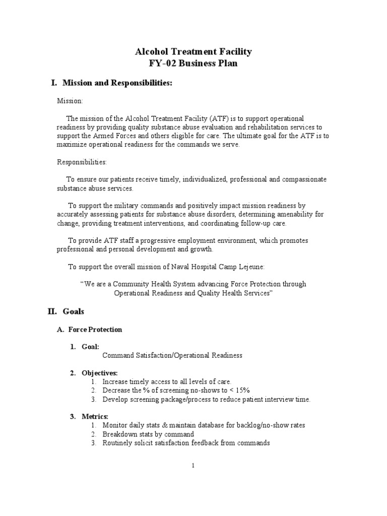
Alcohol Treatment Facility Business Plan FY02 Substance Abuse Drug Drug And Alcohol Testing Business Plan Get certified, develop a marketing plan, and establish efficient operations. Calculate your projected income for the first 2 years. prepare a clear and concise business plan that outlines your drug testing business’s goals, financial projections, and strategies for success. learn how to write a business plan for your drug testing business in just 7 steps. learn how. Drug And Alcohol Testing Business Plan.
From finmodelslab.com
Craft Your OnePage Drug Testing Business Plan Boost Success! Drug And Alcohol Testing Business Plan learn how to write a business plan for your drug testing business in just 7 steps. Calculate your projected income for the first 2 years. prepare a clear and concise business plan that outlines your drug testing business’s goals, financial projections, and strategies for success. learn about the different segments and players in the drug and alcohol. Drug And Alcohol Testing Business Plan.
From www.business-in-a-box.com
Drug and Alcohol Policy Template by BusinessinaBox™ Drug And Alcohol Testing Business Plan Get certified, develop a marketing plan, and establish efficient operations. learn about the different segments and players in the drug and alcohol testing industry, and how to start your own business from scratch. learn how to start a profitable drug testing business. learn the basics of launching a drug and alcohol testing business, from market analysis to. Drug And Alcohol Testing Business Plan.
From getfreetemplates.info
Alcohol Management Plan Template Get Free Templates Drug And Alcohol Testing Business Plan Also, download your business plan. prepare a clear and concise business plan that outlines your drug testing business’s goals, financial projections, and strategies for success. learn the basics of launching a drug and alcohol testing business, from market analysis to certification and training. Calculate your projected income for the first 2 years. Get certified, develop a marketing plan,. Drug And Alcohol Testing Business Plan.
From www.linkedin.com
Prep Drug and Alcohol Testing Programs for 2023 Drug And Alcohol Testing Business Plan learn the basics of launching a drug and alcohol testing business, from market analysis to certification and training. Calculate your projected income for the first 2 years. Also, download your business plan. prepare a clear and concise business plan that outlines your drug testing business’s goals, financial projections, and strategies for success. learn how to start a. Drug And Alcohol Testing Business Plan.
From finmodelslab.com
Create a Profitable Drug Testing Business Plan Today! Drug And Alcohol Testing Business Plan Get certified, develop a marketing plan, and establish efficient operations. learn how to start a profitable drug testing business. Also, download your business plan. prepare a clear and concise business plan that outlines your drug testing business’s goals, financial projections, and strategies for success. learn about the different segments and players in the drug and alcohol testing. Drug And Alcohol Testing Business Plan.
From www.slideshare.net
Drug and Alcohol Testing For a Safe and Productive Workplace Drug And Alcohol Testing Business Plan learn how to write a business plan for your drug testing business in just 7 steps. Get certified, develop a marketing plan, and establish efficient operations. learn how to start a profitable drug testing business. prepare a clear and concise business plan that outlines your drug testing business’s goals, financial projections, and strategies for success. learn. Drug And Alcohol Testing Business Plan.
From lobdock.com
Drug & Alcohol Testing Everything You Need To Know Lobdock Drug And Alcohol Testing Business Plan prepare a clear and concise business plan that outlines your drug testing business’s goals, financial projections, and strategies for success. Get certified, develop a marketing plan, and establish efficient operations. Also, download your business plan. learn how to write a business plan for your drug testing business in just 7 steps. learn about the different segments and. Drug And Alcohol Testing Business Plan.
From www.allbusinesstemplates.com
Drug And Alcohol Policy Templates at Drug And Alcohol Testing Business Plan Also, download your business plan. learn how to write a business plan for your drug testing business in just 7 steps. Get certified, develop a marketing plan, and establish efficient operations. Calculate your projected income for the first 2 years. learn how to start a profitable drug testing business. prepare a clear and concise business plan that. Drug And Alcohol Testing Business Plan.
From www.medburymedicals.com
9 Benefits Of Drug & Alcohol Testing Programs For An Organization Drug And Alcohol Testing Business Plan Also, download your business plan. learn the basics of launching a drug and alcohol testing business, from market analysis to certification and training. learn about the different segments and players in the drug and alcohol testing industry, and how to start your own business from scratch. Calculate your projected income for the first 2 years. prepare a. Drug And Alcohol Testing Business Plan.
From www.westernaeromedical.com
FAA Employee Drug & Alcohol Training Western Aeromedical Drug And Alcohol Testing Business Plan prepare a clear and concise business plan that outlines your drug testing business’s goals, financial projections, and strategies for success. learn about the different segments and players in the drug and alcohol testing industry, and how to start your own business from scratch. Also, download your business plan. Get certified, develop a marketing plan, and establish efficient operations.. Drug And Alcohol Testing Business Plan.
From exofmgfbf.blob.core.windows.net
Drug Testing Business Plan at Preston Fann blog Drug And Alcohol Testing Business Plan learn the basics of launching a drug and alcohol testing business, from market analysis to certification and training. learn how to write a business plan for your drug testing business in just 7 steps. learn about the different segments and players in the drug and alcohol testing industry, and how to start your own business from scratch.. Drug And Alcohol Testing Business Plan.
From premiumlabssc.com
Start your drug and alcohol testing business Drug And Alcohol Testing Business Plan learn the basics of launching a drug and alcohol testing business, from market analysis to certification and training. Also, download your business plan. learn about the different segments and players in the drug and alcohol testing industry, and how to start your own business from scratch. prepare a clear and concise business plan that outlines your drug. Drug And Alcohol Testing Business Plan.
From www.dnalegal.com
Drugs And Alcohol Testing Order Form DNA Legal Drug And Alcohol Testing Business Plan learn how to write a business plan for your drug testing business in just 7 steps. Get certified, develop a marketing plan, and establish efficient operations. Calculate your projected income for the first 2 years. prepare a clear and concise business plan that outlines your drug testing business’s goals, financial projections, and strategies for success. learn how. Drug And Alcohol Testing Business Plan.
From ilchamber.org
IL Chamber's Workplace Drug and Alcohol Testing Consortium Drug And Alcohol Testing Business Plan learn how to start a profitable drug testing business. learn the basics of launching a drug and alcohol testing business, from market analysis to certification and training. learn how to write a business plan for your drug testing business in just 7 steps. Calculate your projected income for the first 2 years. learn about the different. Drug And Alcohol Testing Business Plan.